우주항공청은 2일 토성급 질량(무게)의 '나홀로 행성'을 발견했다고 밝혔다.

토성의 무게(질량)는 지구 질량의 약 95배가 넘는 엄청난 무게이고 부피는 지구의 764배에 달하지만 밀도는 물보다 낮아 물에 뜰 수 있다.

한국천문연구원이 참여한 국제 공동 연구진이 우리나라의 외계행성 탐색시스템(KMTNet·Korea Microlensing Telescope Network)과 유럽우주국(GAIA) 우주망원경을 활용해 발견했다.

'나홀로 행성'은 중심별의 중력에서 벗어나 우주 공간을 홀로 떠도는 행성이다. 이런 천체들은 행성계의 형성과 진화를 이해하는 중요한 단서를 제공한다.

관측 가상도. 한국천문연구원의 지상망원경인 'KMTNet'과 유럽우주국 가이아(GAIA)의 우주망원경으로 토성급 질량의 '나홀로 행성'을 관측하는 방법 가상도

'나홀로 행성'의 미시중력렌즈 현상 개념도. 이상 우주항공청

이번에 발견된 나홀로 행성 'KMT-2024-BLG-0792'은 토성 질량(5.683×10^26kg, 지구 질량의 약 95배)의 약 0.7배 크기로, 지구로부터 1만 광년가량 떨어져 있다.

이 행성은 기존의 나홀로 행성 발견과 달리, 지상망원경과 우주망원경을 동시에 활용해 지구로부터의 정확한 거리를 측정한 첫 번째 나홀로 행성으로 기록됐다.

현재 나홀로 행성을 발견할 수 있는 유일한 방법은 미시중력렌즈 현상을 활용하는 것이다.

KMTNet은 칠레, 호주, 남아프리카공화국에 설치된 3곳의 망원경을 통해 24시간 연속 관측이 가능하여, 미시중력렌즈 현상이 짧게 발생하는 나홀로 행성도 놓치지 않고 발견할 수 있는 장점이 있다.

천문연 KMTNet 연구진은 미시중력렌즈 현상으로 이번 나홀로 행성을 발견했고, 이 현상이 일어날 당시 가이아 우주망원경이 동일 영역을 16시간 동안 6차례 관측한 자료를 바탕으로 행성의 거리와 질량을 정확하게 측정할 수 있었다.

미시중력렌즈 현상은 보이지 않는 천체의 중력이 배경 별의 빛을 휘게 해 밝기가 일시적으로 밝아지는 현상이다.

이번 발견은 중요한 학문적 의미를 갖는다.

지금까지 미시중력렌즈 방법을 통해 발견된 9개의 나홀로 행성은 모두 ‘아인슈타인 데저트’라고 불리는 특정 범위의 아인슈타인 반경(약 9~25마이크로초각) 밖에서 발견됐으나, 이번 행성은 아인슈타인 데저트 내에서 발견된 첫 번째 사례다.

아인슈타인 반경은 미시중력렌즈 현상을 일으키는 물체의 중력장이 빛을 휘게 하는 정도를 정의하는 물리적인 반경이다.

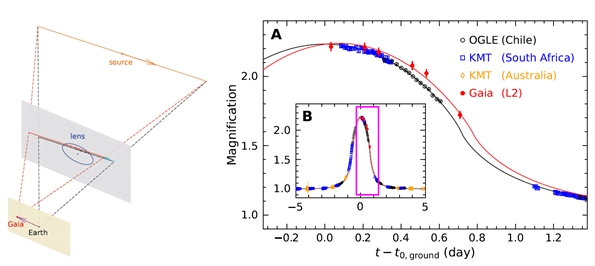
왼쪽은 한국천문연구원의 지상망원경과 유럽우주국(GAIA)의 우주망원경이 관측한 미시중력렌즈 3차원 개략도이며 오른쪽은 KMT-2024-BLG-0792/OGLE-2024-BLG-0516 미시중력렌즈 사건의 광도 곡선이다. A는 지상망원경과 가이아 우주망원경이 공동 관측한 광도 곡선 모습이고, B는 미시 중력렌즈 사건의 전체 모습이다.

우주청 강경인 우주과학탐사부문장은 “천문연에서 구축한 KMTNet의 우수한 성능 덕분에 미시중력렌즈 방법을 통해 나홀로 행성을 포함한 외계행성 발견을 우리나라가 선도하고 있다”며 “앞으로도 우리 지상망원경과 국제 우주망원경들 간의 동시관측 등을 통해 새로운 발견을 지속 추진할 수 있도록 하겠다”고 말했다.

이번 연구 결과는 1월 1일 자(미국동부시각) 사이언스지(Science)에 발표된다.

■ 용어 해설(우주항공청 제공)

▶ 나홀로 행성

ㅇ 국제천문연맹(IAU)이 정하는 행성 정의에 따르면 ▲행성은 태양 주위를 돌아야 하고 ▲구형의 모습을 가지고 있어야 하며 ▲공전궤도에 홀로 존재해야 한다. 이를 만족하는 태양계 행성은 수성, 금성, 지구, 화성, 목성, 토성, 천왕성, 해왕성 등 모두 8개이다.

ㅇ 태양계 너머 우주 공간에 있는 행성을 외계행성이라고 부른다. 외계행성은 지구로부터의 거리가 멀고 스스로 빚을 낼 수 없는 어두운 천체이기 때문에 직접 관측하기가 매우 어렵다. 그로 인해 현재까지 발견된 약 6천여 개 외계행성 대부분은 행성의 중심별을 관측함으로써 간접적으로 발견됐다(케플러 우주망원경에서 사용했던 ‘별 표면 통과’ 방법 등).

ㅇ 행성계 내의 행성은 여러 요인으로 인해 중심별의 중력권 밖으로 튕겨 나갈 수 있다. 이처럼 중심별의 중력에 속하지 않고 우주 공간을 홀로 떠도는 행성을 나홀로 행성(Free floating planet 또는 rogue planet)이라고 하며, 이러한 천체들은 행성계의 다양한 형성과 진화를 이해하는데 중요한 단서를 제공한다.

▶외계행성탐색시스템(KMTNet, Korea Microlensing Telescope Network)

ㅇ 한국천문연구원이 운영하는 외계행성 탐색시스템은 지구와 비슷한 환경을 가지고 있어서 생명체가 존재할 가능성이 있는 외계행성을 찾기 위해 ▲남반구 칠레 CTIO(Cerro Tololo Inter-American Observatory) ▲남아공 SAAO(South African Astronomical Observatory) ▲호주 SSO(Siding Spring Observatory) 천문대에 설치한 망원경이다. 미시중력렌즈 현상을 이용한 외계행성 탐색에 최적화된 시스템으로, 수개월 간의 시험 관측을 거쳐 2015년 10월 2일 본격 가동을 시작했다.

ㅇ 남반구 3개 천문대는 경도상으로 약 120도(또는, 각 지역 표준시가 8시간) 정도 차이가 나므로, 칠레 관측소에서 관측이 끝나갈 즈음에는 호주에서 관측이 시작되고, 호주 관측이 끝날 때면 남아공 관측소에서 이어서 관측이 진행되므로 24시간 연속 관측이 가능한 세계 최초의 탐색시스템이다.

한국천문연구원이 지구 남반구 3곳에 설치한 천문대의 지상망원경 모습

※ 외계행성 탐색시스템 홈페이지(http://kmtnet.kasi.re.kr/kmtnet/)

▶아인슈타인 데저트(Einstein Desert)

ㅇ 특정 범위의 아인슈타인 반경(약 9~25마이크로초각(µas))에 해당하는 천체가 거의 관측되지 않는 현상을 말한다. 이는 이 범위에 속하는 질량대의 천체가 드물거나, 형성 메커니즘이 다르기 때문일 수 있다는 가설을 뒷받침한다.

2016~2019년 동안 발견된 KMTNet 미시중력렌즈 사건 중 배경별의 크기를 측정할 수 있는 30개의 사건을 분석했고, 측정된 아인슈타인 링 각반경(θE)의 누적 분포에서 9~25마이크로초각 사이에 발견된 미시중력렌즈 사건이 없음을 확인할 수 있었다.

이 범위를 아인슈타인 데저트로 부르고 있다.

각반경의 크기는 천체의 질량이 클수록 커지며, 아인슈타인 테저트의 왼쪽(≤9µas)은 질량이 작은 행성, 오른쪽(≥25µas)은 갈색왜성과 별들로 보인다.

'아인슈타인 데저트' 개념 그래프


▶미시중력렌즈 현상

ㅇ 어떤 별을 관측하고 있을 때, 별과 관측자 사이에 보이지 않는 천체(별 혹은 행성)가 지나가게 되면, 관측자에게 도달하지 않던 빛이 보이지 않는 천체의 중력에 의해 휘어져서 관측하고 있던 별의 밝기가 원래의 밝기보다 밝아지는 현상을 말한다. 중간에 놓인 별이 행성을 가지고 있을 때는 별에 의해 밝아졌다가 다시 어두워지는 매끄러운 밝기 변화와 함께 행성에 의한 추가적인 밝기 변형을 통해 외계행성의 존재를 확인할 수 있다. 중력렌즈 방법은 다른 방법들에 비해 훨씬 적은 경비가 드는 지상관측을 통해서도 지구와 같이 작은 질량을 가진 행성들을 검출할 수 있다는 장점을 가지고 있다.

□ 논문 및 연구팀

- 논문 : A free-floating-planet microlensing event caused by a Saturn-mass object / 사이언스지 / 2026년 1월 1일(美 동부시각)

- 연구팀 : Subo Dong(1저자 및 교신저자, 베이징대), Zexuan Wu(2저자, 베이징대), 류윤현(3저자, 천문연), 이충욱(교신저자, 천문연) 외 천문연 미시중력렌즈 연구팀 다수가 공저자로 참여